È stato pubblicato nella GU n. 215 del 13 settembre 2024 il D.M. n. 208 del 6 agosto 2024 (incentivo investimenti XI edizione) - vedi sezione normativa - che stanzia 25 milioni di euro per incentivare l’acquisto di mezzi ecologici e tecnologicamente avanzati nel settore dell’autotrasporto.
Cliccando qui è possibile accedere alla PIATTAFORMA INFORMATICA per la fase di rendicontazione delle domande di cui al D.M. n. 317 del 1° dicembre 2023. Per l'accesso è necessario disporre delle credenziali che sono state inoltrate via PEC all'indirizzo di posta elettronica certificata dell'impresa che ha presentato istanza.
Al seguente link è possibile consultare l'elenco delle domande di accesso all’incentivo presentate secondo le modalità previste all’art. 3 comma 6 del DD n. 537/2024 ed aggiornate al 8/09/2025
FAQ INVESTIMENTI edizione XI
D.M. del 6 agosto 2024 n. 208 (G.U. n. 215 del 13/09/2024)
D.D. n. 537 del 20/11/2024
- Chi può presentare la domanda?
- Per quali investimenti è possibile partecipare?
- Quali sono le modalità di partecipazione al bando?
- Come e quando presentare l’istanza?
- Quali sono gli investimenti ammissibili?
- Dove trovo il modello di istanza?
- Quali sono i documenti da inviare insieme al modello di istanza?
- Quando saranno comunicate le credenziali per l'accesso al portale?
- Quali documenti bisogna caricare sul portale RAM ai fini della rendicontazione?
- Quali mezzi si possono rottamare?
- Quando è possibile rendicontare gli investimenti prenotati?
- Cosa si intende per contratto di acquisto?
- Possono essere presentati documenti scritti in lingua straniera?
- Come richiedere informazioni?
- Quali sono i tempi per l'erogazione del contributo?
- Come viene calcolato il contributo per l'acquisto di rimorchi e semirimorchi (cat. C)?
- Cosa si intende per "contratto di rete"?
- Questo incentivo è cumulabile con altri?
- Come richiedere l'annullamento di una domanda?
- Come richiedere l'annullamento di una istanza?
- Ho chiuso la rendicontazione ma dovrei aggiungere della documentazione, come fare?
- Qual è l'importo del contributo per il veicolo acquistato?
Chi può presentare la domanda?
Le risorse di cui al presente decreto sono destinate ad incentivi a favore delle iniziative d’investimento delle imprese di autotrasporto di merci per conto di terzi attive sul territorio italiano, attualmente iscritte al Registro Elettronico Nazionale (R.E.N.), e all’Albo degli autotrasportatori di cose per conto di terzi, la cui attività prevalente sia quella di autotrasporto di cose.
Per quali investimenti è possibile partecipare?
Le tipologie di investimento ammissibili sono state suddivise in tre classi:
Gruppo A)
Acquisizione di automezzi commerciali nuovi di fabbrica, adibiti al trasporto di merci di massa complessiva a pieno carico pari o superiore a 3,5 tonnellate a trazione alternativa a metano CNG, gas naturale liquefatto LNG, ibrida (diesel/elettrico) ed elettrica (full electric), nonché per l’acquisizione di dispositivi idonei ad operare la riconversione di autoveicoli per il trasporto merci a motorizzazione termica in veicoli a trazione elettrica. La contestuale rottamazione di un veicolo obsoleto determina una maggiorazione del contributo come indicato nella Tabella 1 del D.M. 06 agosto 2024 n. 208.
Gruppo B)
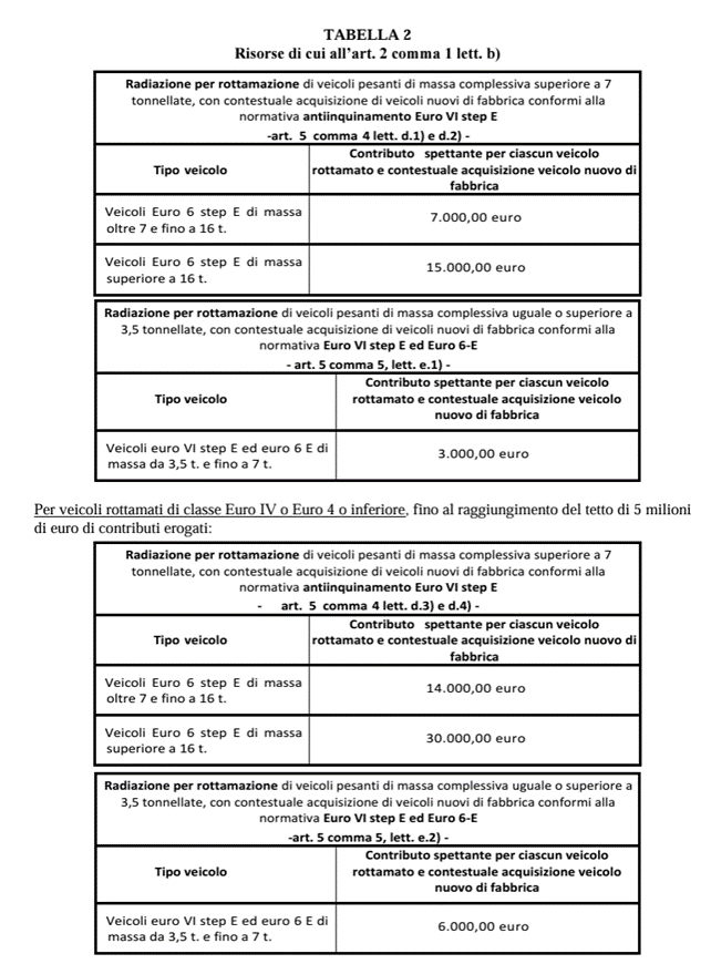
Radiazione per rottamazione di automezzi commerciali di massa complessiva a pieno carico pari o superiore a 3,5 tonnellate, con contestuale acquisizione, anche mediante locazione finanziaria, di automezzi commerciali nuovi di fabbrica, conformi alla normativa Euro VI step E, nonché Euro 6 E con contestuale rottamazione di veicoli della medesima tipologia.
La contestuale rottamazione di un veicolo obsoleto determina una maggiorazione del contributo come indicato nella Tabella 2 del D.M. 06 agosto 2024 n. 208.
Gruppo C)
Acquisizione di rimorchi e semirimorchi nuovi di fabbrica:
- per il trasporto combinato ferroviario a norma UIC 596-5;
- per il trasporto combinato marittimo dotati di ganci nave a norma IMO (o secondo l’aggiornamento previsto dalla circolare prot. 26597 del 30 settembre 2024 riferita alla nuova risoluzione MSC. 479), dotati di dispositivi innovativi per maggiori standard di sicurezza ed efficienza energetica. La contestuale rottamazione di un rimorchio o semirimorchio determina una maggiorazione del contributo come indicato nella Tabella 3 del D.M. 06 agosto 2024 n. 208.;
- per acquisizione di rimorchi e semirimorchi o equipaggiamenti per autoveicoli superiori a 7 t. per trasporti ATP rispondenti a criteri avanzati di risparmio energetico e rispetto ambientale. La contestuale rottamazione di un rimorchio o semirimorchio determina una maggiorazione del contributo;
- acquisizioni di contenitori per il trasporto intermodale di liquidi pericolosi del tipo Iso tank – 20 ft o swap body 22-24 ft, conformi alle norme ASME, ISO e CSC relative alle cisterne, nonché allo standard ADR.
Quali sono le modalità di partecipazione al bando?
La partecipazione al bando si articola in due fasi:
1) Presentazione istanza: finalizzata alla prenotazione dell’incentivo eventualmente spettante sulla sola base del contratto di acquisizione o del preventivo del bene oggetto dell’investimento;
2) Rendicontazione: le imprese istanti dovranno fornire analitica rendicontazione dei costi sostenuti per l’investimento nonché di tutta la documentazione richiesta dal D.M. 208/2024.
Come e quando presentare l’istanza?
La domanda dovrà essere presentata esclusivamente all’indirizzo PEC ram.investimenti2025@legalmail.it tra le ore 10:00 del 16/12/2024 e le ore 16:00 del 17/01/2025.
Si potrà presentare una sola domanda contenente tutti gli investimenti anche per più mezzi di diversa tipologia. Nel caso vengano presentate più domande verrà presa in considerazione solamente quella inoltrata per prima.
È previsto un solo periodo di incentivazione
Quali sono gli investimenti ammissibili?
Sono tutti quelli avviati a partire dal 14 settembre 2024 e fino al 17 gennaio 2025, giorno ultimo per la presentazione delle domande.
Dove trovo il modello di istanza?
A questo link è possibile avvalersi di un supporto per l’inserimento dei dati nel modello di istanza che semplifica il procedimento di compilazione e salvataggio nel corretto formato.
Una volta inserite tutte le informazioni richieste, il file “PDF editabile” sarà scaricabile e pronto per la firma elettronica ed il successivo invio tramite PEC insieme ai necessari allegati.
http://213.229.72.33:8080/investimentiXI/modellodomanda_DM208_6_agosto_2024.html
Il modello di istanza in pdf editabile, da compilare autonomamente, è reperibile al link che segue nella sezione “normativa”, deve essere compilato in maniera informatizzata, salvato e firmato solo digitalmente, da parte del legale rappresentante o dal procuratore, prima di procedere all’invio tramite PEC dell’impresa richiedente:
Quali sono i documenti da inviare insieme al modello di istanza?
Insieme alla domanda di partecipazione occorre allegare:
- Documento di riconoscimento del rappresentante legale o procuratore dell’impresa;
- Copia del/i contratto/i di acquisizione (o preventivo di spesa, conferma d’ordine o altro atto vincolante tra l’impresa e il venditore) del/i bene/i oggetto di investimento, sottoscritto da entrambe le parti, in data successiva a quella dell’entrata in vigore D.M. del 06/08/2024 n. 208 (ovvero a far data dal14/09/2024). Nel caso di acquisto di rimorchi o semirimorchi, l’indicazione del costo di acquisizione dei dispositivi innovativi di cui all’allegato 1 del D.M. 208/2024. A differenza delle precedenti edizioni, la suddetta documentazione non necessita della firma digitale del rappresentante legale dell’impresa.
ATTENZIONE si prega di verificare le seguenti raccomandazioni:
- l’istanza deve essere compilata con il modello pdf predisposto e firmata digitalmente; altri modelli, diversi da quello dedicato alla presente edizione, non saranno presi in considerazione;
- non allegare file nel formato .zip o nel formato .eml;
- non rinominare il file della domanda;
- allegare solamente i documenti richiesti per la presentazione della domanda; i documenti relativi alla prova dell’avvenuto investimento verranno richiesti nella fase di rendicontazione.
Quando saranno comunicate le credenziali per l'accesso al portale?
Le credenziali per l’accesso al portale RAM saranno inviate prima dell’inizio della fase di rendicontazione. Non è prevista la loro scadenza o sostituzione a meno di un nuovo invio dovuto ai nostri protocolli di sicurezza. Un eventuale nuovo invio avverrà sempre tramite Pec all’indirizzo aziendale. Si ricorda che le credenziali sono valide solo per l’incentivo in oggetto e non per tutte le altre eventuali domande presentate. È cura dell’impresa conservarle fino alla conclusione della procedura.
Quali documenti bisogna caricare sul portale RAM ai fini della rendicontazione?
La documentazione richiesta varia a seconda della categoria per cui si presenta domanda
| CAT. A | documento di immatricolazione |
| contratto di acquisto o contratto di leasing |
| in caso di leasing : fatture fino al momento della rendicontazione; quietanze fino al momento della rendicontazione. In caso di acquisto: fattura emessa del venditore e relativa quietanza |
| dichiarazione del costruttore circa l’alimentazione del mezzo |
| FACOLTATIVI IN CASO DI ROTTAMAZIONE |
| documento immatricolazione mezzo di classe inferiore ad Euro V o Euro IV e certificato di rottamazione |
CAT.B | documento di immatricolazione |
| contratto di acquisto o contratto di leasing |
| in caso di leasing: fatture fino al momento della rendicontazione; quietanze fino al momento della rendicontazione. In caso di acquisto: fattura emessa del venditore e relativa quietanza |
| documento immatricolazione veicolo rottamato Diesel fino ad Euro VI step e o Euro 6 E; certificato di rottamazione; documento immatricolazione mezzo di classe inferiore |
CAT.C | documento di immatricolazione |
| contratto di acquisto o contratto di leasing |
| in caso di leasing: fatture fino al momento della rendicontazione; quietanze fino al momento della rendicontazione. In caso di acquisto: fattura emessa del venditore e relativa quietanza |
| dichiarazione del costruttore requisiti UIC-MSC o ATP STAGE V; ASME, ISO,CSC, ADR |
| dichiarazione del costruttore dispositivi innovativi (per tutte le categorie tranne ATP) |
| FACOLTATIVI IN CASO DI ROTTAMAZIONE |
| documento immatricolazione vecchio semirimorchio; |
Quali mezzi si possono rottamare?
Come previsto all’art. 5 comma 2 del decreto ministeriale 6 agosto 2024 n. 208, si possono rottamare veicoli di classe inferiore ad Euro VI step E o Euro 6 E, di massa equivalente al veicolo nuovo acquisito. Per individuare la massa equivalente si fa riferimento: per la TABELLA 1 alla colonna “Massa complessiva”; per la TABELLA 2 alla colonna “Tipo veicolo”. Pertanto, nel compilare la domanda sul modello scaricabile dal sito RAM, dovrà essere inserito nelle caselle “Euro 5”, il numero complessivo dei veicoli rottamati di classe superiore ad Euro IV o Euro 4.Per beneficiare delle maggiorazioni contestuali all’acquisto di mezzi rientranti nella categoria C si possono rottamare rimorchi e semirimorchi ma non trattori stradali o autocarri.
Quando è possibile rendicontare gli investimenti prenotati?
E’ possibile rendicontare dalle ore 10:00 del 17/02/2025 alle ore 16:00 del 19/09/2025.
Cosa si intende per contratto di acquisto?
Per contratto di acquisto si intende un atto negoziale avente valore giuridico che produce effetti vincolanti per le parti. Vanno inclusi in tale categoria le proposte di acquisto, gli ordini di acquisto, i preventivi vincolanti, contratti di fornitura/appalto, le proposte irrevocabili d’acquisto ovvero quegli atti che possono tradursi in preliminari di acquisto ed anticipare gli effetti obbligatori della vendita del bene, stipulato tra il legale rappresentante della società e un venditore a far data dal 14/09/2024. Il leasing non equivale al contratto di acquisto: sono due atti diversi che producono effetti diversi.
Possono essere presentati documenti scritti in lingua straniera?
Si purchè accompagnati da traduzione conforme al testo straniero giurata nelle modalità previste dalla legge.
Come richiedere informazioni?
Per fornire assistenza alle imprese partecipanti all’incentivo è attivo il servizio helpdesk all’indirizzo incentivoinvestimenti@ramspa.it al quale rivolgersi con mail ordinaria e non PEC. Il servizio è rivolto alla risoluzione di problematiche inerenti le istanze e non a fornire informazioni circa lo stato di avanzamento e lavorazione delle domande. Pertanto, ogni comunicazione formale, relativa all’ammissibilità o meno delle istanze, avverrà tramite Pec inviata all’indirizzo con cui l’impresa ha inviato la domanda. Non è previsto supporto telefonico.
Quali sono i tempi per l'erogazione del contributo?
I tempi di erogazione dell’incentivo non dipendono dalla RAM in quanto essa gestisce solo la fase istruttoria del procedimento; ogni altro atto è demandato ai competenti uffici del Ministero delle Infrastrutture e Trasporti.
Come viene calcolato il contributo per l'acquisto di rimorchi e semirimorchi (Cat. C)?
Il contributo per i mezzi di cui alla Cat. C è stabilito nel 20% del prezzo di acquisto (iva esclusa) se la richiesta viene da Piccola Impresa; nel 10 % se la richiesta viene da Media impresa. Per le grandi imprese gli importi sono determinati nel D.M. 208 del 06 agosto 2024.
Normativa di rispondenza per i ganci nave di rimorchi e semirimorchi (art. 2 comma 1 lett c) del DM 208/2024 e art. 7 comma 1 del DD 537/2024)
Considerato come nell’intervallo tra la pubblicazione del decreto ministeriale (che fa riferimento alle norme IMO) e la pubblicazione del decreto direttoriale sia intervenuta s la circolare prot. 26597 del 30 settembre 2024, emessa dalla Direzione generale per la motorizzazione di questo ministero, che comunica come le linee guida della Risoluzione IMOA. 581 siamo state sostituite dalla nuova risoluzione MSC. 479, verranno considerate idonee entrambe le attestazioni.
Cosa sono la dichiarazione ULA e quella di ampliamento dello stabilimento?
Per ULA si intende una dichiarazione redatta e sottoscritta dal legale rappresentate della società, secondo le forme previste dal D.P.R. 455/2000, in cui siano indicati il numero dei dipendenti in forze all’azienda e il fatturato relativo all’anno 2023; di seguito si fornisce un fac-simile:
Documento
MODELLO ULA
Per dichiarazione di ampliamento si intende una dichiarazione redata e sottoscritta dal legale rappresentante della società, secondo le forme previste dal D.P.R. 455/2000, in cui si faccia presente che l’acquisto del veicolo di Cat. C oggetto di investimento è stato effettuato per differenziare l’offerta alla clientela, aumentare il proprio volume di affari. Non deve intendersi come un ampliamento dei locali aziendali ma della capacità aziendale di far fronte a nuove richieste.
Cosa si intende per "contratto di rete"?
Il contratto di rete è quel documento disciplinato dal decreto Legge 10 febbraio 2009 n.5 convertito con modifiche in legge 9 aprile 2009 n. 33. Con il contratto di rete più imprenditori si associano per raggiungere un obiettivo comune, attivare una collaborazione attinente il campo di azione delle proprie imprese, fino allo svolgimento di attività in comune. Il contratto di rete va poi iscritto nel Registro delle imprese cui è iscritto ogni aderente.
Questo incentivo è cumulabile con altri?
Gli incentivi di cui al D.M. 208/2024 non sono compatibili con altre misure quali la legge Sabatini; dunque, il riconoscimento di un incentivo esclude l’altro.
Come richiedere l'annullamento di una domanda?
Nel caso in cui la società richiedente volesse annullare la propria domanda può inviare una Pec all’indirizzo ram.investimenti2025@legalmail.it; nell’oggetto deve essere riportata la dicitura “richiesta annullamento istanza IN …/2025”; la richiesta deve essere redatta dal legale rappresentate di cui occorre allegare copia del documento di validità alla Pec stessa. L’impresa può inoltrare una seconda domanda, entro i termini previsti riportando la dicitura “annullamento domanda e nuova presentazione”. Deve essere allegata nuovamente tutta la documentazione prevista dai D.D. 537/2024. L’annullamento di una domanda già inviata deve avvenire entro il termine del 17 gennaio 2025.
Come richiedere l'annullamento di una istanza?
L’impresa potrà annullare l’istanza presentata entro i termini di chiusura della rendicontazione. Le richieste di annullamento successive al 19 settembre 2025 non saranno prese in considerazione. Non sarà possibile annullare nemmeno le istanze scadute, per le quali non si è conclusa correttamente la rendicontazione.
Ho chiuso la rendicontazione ma dovrei aggiungere della documentazione, come posso fare?
Nel caso in cui la società richiedente volesse riaprire la rendicontazione può inviare una PEC all’indirizzo ram.investimenti2025@legalmail.it; nell’oggetto deve essere riportata la dicitura “richiesta riapertura istanza IN …/2025”; la richiesta deve essere redatta dal legale rappresentante di cui occorre allegare copia del documento di validità alla PEC stessa. Dopo la riapertura, che si svolgerà nel minor tempo possibile, non verrà data comunque comunicazione ma sarà cura dell’impresa entrare nella propria area riservata accedendo con le credenziali fornite.
È possibile richiedere la riapertura dell’istanza solo all’interno del periodo di rendicontazione.
Qual è l'importo del contributo riconosciuto per il veicolo acquistato?
Gli importi sono indicati nelle tabelle già allegate al D.M. 06 agosto 2024 n.208 che sono riportate di seguito: